Best of #econtwitter - Week of July 17, 2022 [3/3]
Jul 18, 2022
Welcome readers old and new to this week’s edition of Best of Econtwitter. Please submit suggestions — very much including your own work! — over email or on Twitter @just_economics.
This is part one of three.
Paper summaries

Mirko De Maria@Mirko_De_Maria
Probably the coolest paper I’ve read all year: “War, Socialism and the Rise of Fascism: An Empirical Exploration” by Acemoglu et al. (2022), recently published on @QJEHarvard. It is an excellent take on the growth of fascism in post-war Italy. (1/6)

6:52 PM · Jul 17, 2022
441 Reposts · 2.17K Likes

John B. Holbein@JohnHolbein1
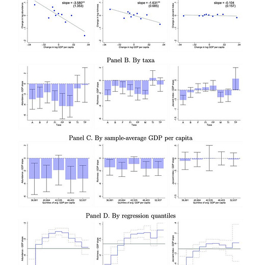
"Economic production substantially reduces the total abundance of wildlife, reduces the diversity of species, and changes the composition of species in a local ecosystem."
osf.io/preprints/soca…




3:02 PM · Jul 15, 2022
1 Repost · 7 Likes

Michael (hermit mode)@michael_nielsen
I enjoyed this - on the marginal benefit of the NSF on funding economics: aeaweb.org/articles?id=10…

4:49 PM · Jul 17, 2022
17 Reposts · 60 Likes

Kyle Myers@KRoyMyers
I wrote a short summary of the what we know so far about the effects of the pandemic on the academic research enterprise
Here’s a summary of the summary in 3 graphs…

CEPR @cepr_org
The COVID-19 #pandemic and academic research enterprise
Chapter by Kyle Myers @KRoyMyers @HarvardHBS
New CEPR eBook: https://t.co/OIa4TJYNp0
#CovidandInnovation https://t.co/uthNl2d4yV
8:31 PM · Jul 14, 2022
6 Reposts · 16 Likes

Jake Bradley@jake_bradley88
New paper with @AGottfries combining growth via imitation and labor market frictions, a short thread.
#EconTwitter

2:33 PM · Jul 12, 2022
24 Reposts · 111 Likes

𝗦𝘂𝗽𝗿𝗼𝘁𝗲𝗲𝗺 𝗦𝗮𝗿𝗸𝗮𝗿@SuproteemSarkar
Which patents get accepted?
How do the standards for innovation evolve over time?
What kinds of technologies turn over more quickly?
In joint work with Mirac Suzgun @lukemelas @skominers and @pmphlt, we introduce a dataset that may help address questions like these [1/n]

4:15 PM · Jul 11, 2022
35 Reposts · 136 Likes

Robert Dur@DurRobert
"Female candidates are consistently described more in terms of being diligent and hardworking rather than outstanding or brilliant.
Such differences are driven by letters written by male sponsors"
New paper about the econ job market: cepr.org/active/publica… by @Audingus1 et al.



10:56 AM · Jul 15, 2022
264 Reposts · 921 Likes

Salvo Nunnari@NunnariSalvo
🚨New paper alert! 🚨 Together with @MassPozzi, we conduct a meta-analysis of estimates of inequity aversion. Do people dislike being ahead/behind in social comparisons? What do 20 years of social science research teach us about this? Abstract in pic 👇 and highlights in🧵. 1/4

12:17 PM · Jul 15, 2022
59 Reposts · 211 Likes

Viola Asri@ViolaAsri
A 🧵 on our new paper in #JEBO @ELSFinance
"The pursuit of simplicity: Can simplifying eligibility criteria improve social pension targeting?"
Joint with Katharina Michaelowa (@UZH_en @IPZ_ch), @stkntp (@IIT_Bhilai) & Sourabh B. Paul (@iitdelhi).
sciencedirect.com/science/articl…
[1/8]
7:25 AM · Jul 17, 2022
7 Reposts · 43 Likes
More: satellite data with ML; Australian YCC; admin data attrition; German home care subsidy; money in politics and labor; entrepreneur forecasts; NREGA; Selgin vs. Gorton-Zhang; Indian economic history; detecting fake reviews; meta-nudge
Interesting discussions

John Symons@johnfsymons
We're going to have to change our courses/assignments immediately to deal with the effects of AI on higher Ed. This coming school year faculty in writing intensive courses will notice a dramatic improvement in the quality of student written work.
2:56 PM · Jul 11, 2022
97 Reposts · 402 Likes

Anup Malani@anup_malani
When I give the same paper (an RCT on health insurance in India) I get different questions (all good) depending on location & audience (US v India, econ v policy v law). I wonder…
How would economics evolve if we sometimes asked for ref reports from outside the field?
6:16 PM · Jul 16, 2022
18 Likes

Kira Goldner@kiragoldner
It's been a few months so I'll say it again: If you're an academic without a website, you don't exist.
Doesn't matter if you haven't published yet, put up a website with your name, affiliation, EMAIL, advisor, research interests, and photo. Otherwise you can't be found.
9:15 PM · Jul 17, 2022
31 Reposts · 296 Likes

Ben Golub 🇺🇦@ben_golub
I agree with @albrgr that the most interesting thing about NSF economics funding is how negligible it is.
A senior NSF official once remarked that the budget fluctuations year to year in, say, engineering exceed the whole economics budget.

Michael (hermit mode) @michael_nielsen
I enjoyed this - on the marginal benefit of the NSF on funding economics: https://t.co/QsC9paKPSW https://t.co/zGj2w7nULC
4:53 AM · Jul 18, 2022
1 Repost · 26 Likes

Zach Weinersmith@ZachWeiner

5:23 PM · Jul 13, 2022
60 Reposts · 363 Likes

