Best of #econtwitter - Week of February 14, 2021
Feb 14, 2021
Welcome readers old and new to this week’s edition of Best of Econtwitter. Thanks to those sharing suggestions, over email or on Twitter @just_economics.
Paper summary threads

Kevin Volpp@kevin_volpp
An increase of 33.6% in out-of-pocket price (11.0 percentage points (p.p.) change in coinsurance, or $10.40 per drug) causes a 22.6% drop in total drug consumption ($61.20), and a 32.7% increase in monthly mortality (0.048 p.p.) due to to cutbacks in statins and antihypertensives

Amitabh Chandra @amitabhchandra2
Thinking of patients as 'rational' has lead to policies like cost-sharing and consumerism in health care.
But when faced with small amounts of cost-sharing-- even $10-- patients back on valuable medicines, some drop all their medicines, and many die.
https://t.co/YTUvKOkmrs
3:30 AM · Feb 10, 2021
5 Reposts · 18 Likes
^and:

Amitabh Chandra@amitabhchandra2
Why did other studies did not detect mortality?
To measure a 10% increase in mortality when baseline risk of mortality is 1%, need to randomize 325,000 patients. Oregon treatment group was 9,000 patients; RAND randomized ~5,500 patients; typical physicians has ~1500 patients
5:00 PM · Feb 8, 2021
16 Reposts · 86 Likes
^also: related paper on cost-sharing in MRIs

Jake Vigdor@JakeVigdor
For the small number of people who are not totally sick of #minimumwage threads, let me walk you through some of the @UW team's findings for #Seattle now that they've cleared peer review (conditionally accepted, AEJ:EP).
A lot of them are packed into this one picture.

5:44 AM · Feb 10, 2021
110 Reposts · 277 Likes

Christopher Severen@ChrisSeveren
We show that (1) teen exposure to the 1970s oil crises decreases later life driving, and (2) this is a general phenomenon (using all state-year gas price variation from 1966-2010).
This picture sums it up ('70s oil crises in red, driving behavior in **year 2000** on y-axis):

7:07 PM · Feb 9, 2021
3 Likes

Florian Ederer@florianederer
The latest and greatest job market strategy is to be beautiful.




Galina Hale @galinahale_ucsc
#EconTwitter - if you don't think your looks matter, think again. https://t.co/jrHxxqrdMJ
11:53 AM · Feb 9, 2021
383 Reposts · 1.54K Likes
^lots of discussion (eg) since everyone loves navel-gazing. Obviously (“obviously”?), this evidence is correlational

Jonathan Mummolo@jonmummolo
So what do we find? In short, when facing similar civilians in comparable places and times, officers from marginalized groups engage in much less enforcement activity & violence than their white and male counterparts. 6/

7:06 PM · Feb 11, 2021
27 Reposts · 69 Likes
^see also: testing the Becker model of discrimination

Simon Jäger@simon_jaeger
New working paper on causal effects of codetermination: "Voice at Work". @jarkko_harju, @Schoefer_B and I study the 1991 introduction of a worker right to shared governance in Finnish firms with 150+ employees. economics.mit.edu/files/21196


4:49 PM · Feb 13, 2021
82 Reposts · 291 Likes

Aakaash Rao@aakaash_rao
Excited to post a new paper on the effects of long-run contact on attitudes, political preferences, and altruism!
Joint work with the fantastic Leo Bursztyn, Thomas Chaney, and Tarek Hassan.
bit.ly/3cVrtQy (1/11)
bit.ly
immigrant-next-door.pdf

12:33 AM · Feb 9, 2021
29 Reposts · 132 Likes

Dean Eckles@deaneckles
We often say that networks exhibit homophily in that similar people are more likely to be connected.
But how much of this is actually "love of the same" — preferences for forming ties with similar others?
New experimental evidence of partisan homophily:
doi.org/10.1073/pnas.2…

8:03 PM · Feb 9, 2021
33 Reposts · 86 Likes

Daniele Girardi@DanieleGirardi_
Our work (w/ @RaphaelGouvea_ ) on the politics of municipal budgets in Brazil is now online at JDE.
We find that left-wing mayors don't increase the size of the city government. They do try raise the share of social spending, but face constraints.
sciencedirect.com/science/articl…
[1/6]

9:10 PM · Feb 11, 2021
36 Reposts · 152 Likes

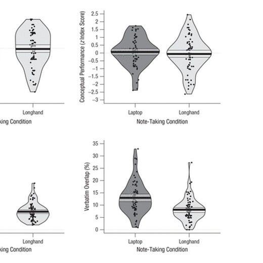
Arpit Gupta@arpitrage
Maybe laptops aren't so bad in class after all



Paul Bruno @Paul__Bruno
Don’t Ditch the Laptop Just Yet: A Direct Replication of Mueller and Oppenheimer’s (2014) Study 1 Plus Mini Meta-Analyses Across Similar Studies https://t.co/F3fDquYUDo
"results do not support the idea that longhand note taking improves immediate learning via better encoding"
1:33 AM · Feb 9, 2021
2 Reposts · 16 Likes
More: model of automation and inequality; licensing transistors; informational interventions as salience effects?; ag subsidies; euro asset purchases; social security solvency and adaptive learning
Public goods

No Such Thing As a Dumb Question, Econ Edition@NoDumbEconQs
A very non-scientific experiment to try to offer information to the people who need it. Have a question you wish you knew the answer to, but you're afraid of asking on #EconTwitter? Let me ask for you.
forms.gle
Ask Me Anything, Econ Edition

4:27 PM · Feb 12, 2021
9 Reposts · 7 Likes

Paul Novosad@paulnovosad
📢📢Trying something new: Instead of waiting 10 years until our judicial bias paper publishes, we are posting the public data RIGHT AWAY.
80 million cases, 80k judges, the near universe of Indian lower court cases from 2010–2018. 🧵 1/5
Details: devdatalab.medium.com/big-data-for-j…
devdatalab.medium.com
Big Data for Justice

8:37 PM · Feb 8, 2021
753 Reposts · 2.7K Likes
Interesting discussions

Paul Novosad@paulnovosad
1. Authors post their replication repos
2. Grad students can try to download and replicate
3. If they succeed, the journal puts a *replicated* emoji on the article, credits the grad student.
4. Authors develop reputations for having replicable papers.
20/N
2:49 PM · Jan 28, 2021
5 Reposts · 118 Likes

Jason Abaluck@Jabaluck
A critical error that I see many grad students make: they try to estimate Frankenstein's model. Rather than viewing a model as answering a research question, they view a model as an arbitrary hodgepodge of models they learned about in their classes.
10:24 PM · Feb 9, 2021
65 Reposts · 397 Likes

Federico Huneeus@FedericoHuneeus
I've completed a couple of years of doing referee reports and I admit that it would be great if editors provide brief feedback to the reviewers of how useful the report was for their decision (other than inferring it from the decision letter). Does this happen in any journal?
4:20 PM · Feb 9, 2021
3 Reposts · 115 Likes

Ashvin Gandhi@ashdgandhi
I've seen surprisingly little #EconTwitter advice for second years, so here's a short thread with three pieces of advice I found helpful when reading papers to prepare for field exams. [1/4]
5:26 PM · Feb 10, 2021
46 Reposts · 245 Likes

Andrew C. Johnston@datacrat
Dear #EconTwitter,
Are there papers that estimate how much top-five publications affect your career as an economist (how many top fields = 1 top five)?
Thank you!!
11:24 PM · Feb 12, 2021
8 Reposts · 30 Likes

Emily Nix@EmilyNix100
@JaminSpeer @datacrat It is insane that this is the approach. For example, AEJ Applied has a lower acceptance rate than AER. I would bet lots of money there is wild variability in acceptance rates across fields at T5. And yet, we tend not to think carefully about these facts and what they imply. [1/n]
5:40 PM · Feb 13, 2021
7 Reposts · 58 Likes

Scarlet Chen@ScarletSijia
On Clubhouse next Fri 19th 5pm PST with @AFabisiak @robdonelly47 @datarose @NirhaK @onderpolat talking about
1. What do Economist/Data Scientist in tech do
2. How to get in (interview process & prep)
3. How to succeed at the job
joinclubhouse.com/event/M8NaA29A
Please circulate
joinclubhouse.com
Economists in Tech - Careers in Tech and Data Science (CTDS)

2:16 AM · Feb 14, 2021
11 Reposts · 20 Likes

